유형 : 재귀 함수

[예제]
10
[출력]
55
1. 내 풀이
n = int(input())
_list = [0,1]
for i in range(n):
_list.append(_list[i]+_list[i+1])
print(_list[n])
▷ 피보나치 수의 식인 Fn = Fn-1 + Fn-2 (n ≥ 2)을 이용해서 풀었다.
▷ 처음 두 수 0,1을 리스트에 받고, 이 리스트를 이용하였다.
▷ 문제에서 전체 배열이 아니라 n번째 피보나치 수를 출력하라고 했으니, 굳이 append로 할 필요는 없어 보인다.
2. 다른 풀이
출처 : 패스트캠퍼스 - 알고리즘 / 기술면접 완전 정복 올인원 패키지 Online
** 핵심 아이디어
1. 피보나치 수열의 점화식을 세움
F0 = 0, F1 = 1
Fn = Fn-1+ Fn-2 (n ≥ 2)
2. 재귀 함수를 이용해 문제를 풀 수 있는지 검토
3. 문제에서 N은 최대 45
1) 재귀적 구현
def fibonacci(n):
if n == 0:
return 0
if n == 1:
return 1
return fibonacci(n-1) + fibonaci(n-2)
print(fibonacci(int(input())))
▷ 이 경우 시간 초과 발생 → 시간복잡도 : O(2ⁿ)
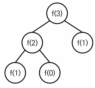
▷ 아래 그림을 보면 f(3)을 구하기 위해, f(2), f(1)을 구한 다음 합을 구해야 한다. 구해야 하는 피보나치 수가 커지면 그에 따라 계산이 많아지기 때문에(동일한 수를 또 계산/호출해야 하는 문제) 재귀적 구현의 한계를 알 수 있다.

2) 반복문 구현
n = int(input())
a,b = 0,1
while n > 0:
a,b = b, a+b
n -= 1
print(a)
문제 출처 : https://www.acmicpc.net/problem/2747
2747번: 피보나치 수
피보나치 수는 0과 1로 시작한다. 0번째 피보나치 수는 0이고, 1번째 피보나치 수는 1이다. 그 다음 2번째 부터는 바로 앞 두 피보나치 수의 합이 된다. 이를 식으로 써보면 Fn = Fn-1 + Fn-2 (n ≥ 2)가
www.acmicpc.net
반응형
'Python' 카테고리의 다른 글
| [백준] 7490번 : 0 만들기 ☆ (0) | 2022.01.01 |
|---|---|
| [백준] 1074번 : Z ☆ (0) | 2022.01.01 |
| [백준] 10989번 : 수 정렬하기 3 (0) | 2022.01.01 |
| [백준] 11650번 : 좌표 정렬하기 (0) | 2021.12.31 |
| [백준] 10814번 : 나이순 정렬 (0) | 2021.12.31 |
댓글